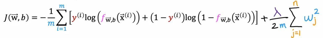
Log Loss [Binary Classification]
Description
- Use case: Classification problems (Binary classification)
- When to use: Is specifically used for binary classification problems where the output is a probability (e.g., logistic regression). It quantifies the difference between the predicted probability and the true label (0 or 1).
- Key property: Encourages probabilistic models to predict values that are closer to the true label (e.g., probability of 0 or 1). Assigning a higher predicted probability to the wrong class results in higher penalties.
-
Example applications:
- Predicting whether an email is spam or not
- Determining if a customer will churn (leave)





